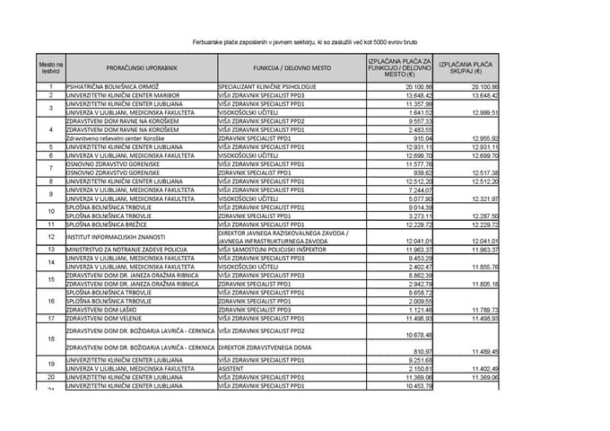
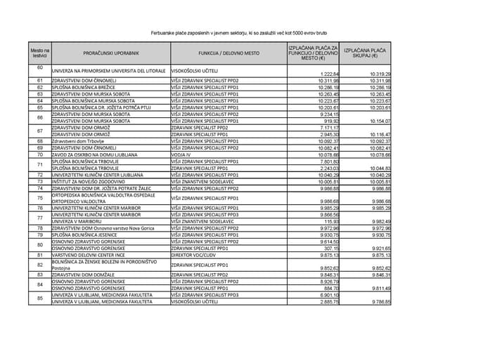
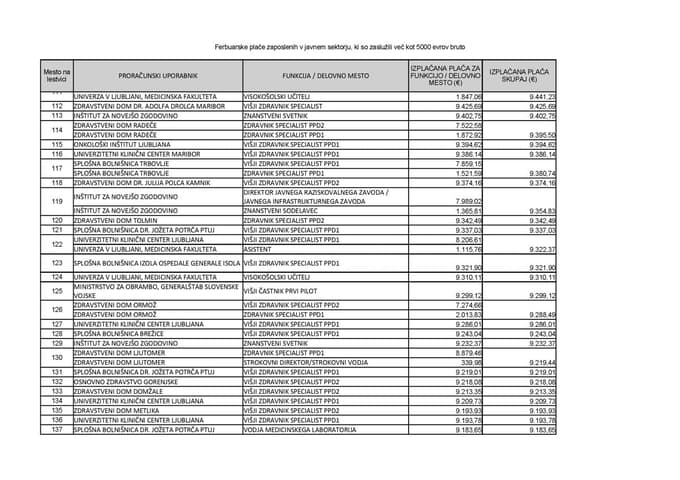
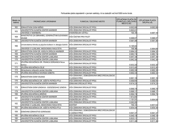
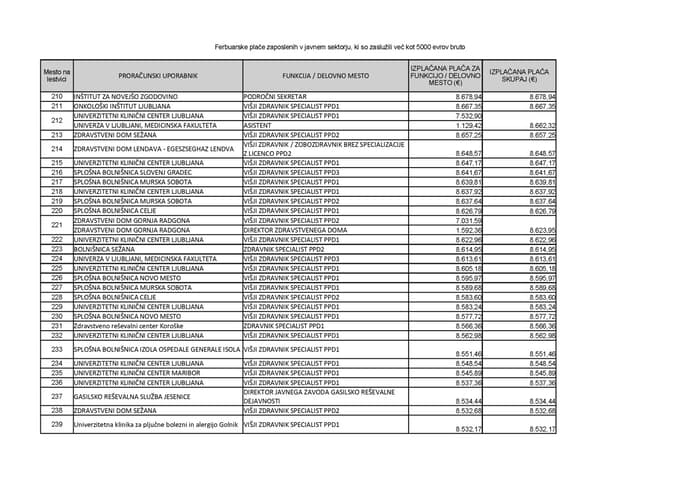
Za povečavo kliknite na seznam.
Popravek in pojasnilo
Po objavi se je odzval ravnatelj Glasbene šole Ravne, ki je v seznamu zajet s plačo 6.276 evrov. Ta podatek je napačen, na ministrstvu je bil pomotoma zajet dvakratno, torej je pravi znesek prepolovljen (3.138 evrov).
Tudi s Prve osnovne šole Slovenj Gradec so nam sporočili, da so bile plače pri njih zajete dvakratno, torej so pravi zneski prepolovljeni.
Iz Zbornice kliničnih psihologov Slovenije pa so sporočili naslednje: "Na seznamu, ki ste ga objavili na vaši spletni strani, je na vrhu z najvišjo plačo v februarju specializant klinične psihologije iz PB Ormož. Ker smo prepričani, da gre za napako in da gre najverjetneje za zdravnika, nikakor pa ne specializanta, kot reprezentativno strokovno združenje za področje klinične psihologije v Sloveniji zahtevamo popravek oziroma vas pozivamo, da podatek še enkrat preverite."
Celoten seznam najbolje plačanih javnih uslužbencev si lahko prenesete tukaj.










